Lingenfelder Lab
From Nano to Quantum Interfaces

Nature creates dynamic and responsive systems across different time and length scales. We mimic nature to create sustainable materials and devices.We see the surface as the skin of the material, the way it communicates and interfaces with the environment, and we nanostructure it to create atomically tailored interfaces for applications in two distinct areas of urgent technological relevance: energy conversion and smart antimicrobial interfaces.To access the nanoscale, our group uses a combination of cutting edge scanning probe microscopy and solid state spectroscopy, allowing the study of kinetic processes in-situ under liquid flow and potential control conditions.
** We thank HORIZON 2020, SERI, CONICET, MinCyT and MPI and the US Department of Energy for supporting our research!**





Biointerfaces
Protein-surface interactions and kinetics of self-assemblyWe track the kinetics of molecular recognition and protein self-assembly at the submolecular level at the solid/liquid interface
📄 Contrasting chemistry of block copolymer films controls the dynamics of protein self-assembly at the nanoscale. ACS Nano, 2019, 13 (4), pp 40184027📄* Dynamically resolved self-assembly of S-layer proteins on solid surfaces.* Chemical Communications, 2018; 54(73). Invited contribution to the collection: Scanning probe frontiers in molecular 2D-architecture world.📕 PhD Thesis Bart Stel. In situ Studies of Peptide and Protein Assemblies at the Solid-Liquid Interface: Hierarchical Self-Assembly, Dynamics and Functional Properties. EPFL , 2019.
Antimicrobial interfacesWe design nanostructured interfaces for biomedical devices that are bactericidal against multi-resistant bacteria
We seek solutions to the upcoming health crisis due to antimicrobial resistance by designing drug-free antimicrobial nanostructured surfaces.📄Nanopatterned antimicrobial surfaces International Patent
WO2021070055 (A1), published June 2021.
📕Msc Thesis Guillaume Dupont. Bioinspired antimicrobial surfaces structured at the nanoscale , EPFL, 2021
Biomineralization at the Nanoscale We unravel inorganic paths for bacterial CO2 fixation on lakes and oceans
📕 PhD Thesis Bart Stel. In situ Studies of Peptide and Protein Assemblies at the Solid-Liquid Interface: Hierarchical Self-Assembly, Dynamics and Functional Properties. EPFL , 2019.
Catalysis
Solid/liquid electrified interfaces
We want to find cleaner ways to power the world. We need to use Earth- abundant materials to achieve complex functions. We believe the way is to mimic what nature cleverly does: use atomic precision, use the spin of electrons to transmit information, use organic molecules: those tiny functional units with unlimited possibilities due to the power of chemistry!
CO2 electroreduction
We identify catalytic active sites of metals and 2D materials during the electrochemical reduction of carbon dioxide
The operando understanding of electrocatalysis allows the optimization of CO2-to-fuels conversion, helping to close the loop of the anthropogenic carbon cycle.📄Emergence of Potential-Controlled Cu-Nanocuboids and Graphene-Covered Cu-Nanocuboids under Operando CO2 Electroreduction.
Nanoletters 21 (2021) 2059-2065
📕PhD Thesis Karla Banjac. **ln-situ nanoscale studies of copper-based catalysts for carbon dioxide electroreduction. ** EPFL, 2021.
**In situ tracking of active sites on electrocatalytic electrodes **
We identify active sites in situ to optimize water splitting processes
📄Oxygen Isotope Labelling Experiments Reveal Different Reaction Sites for the Oxygen Evolution Reaction on Nickel and Nickel Iron Oxides.
Angewandte Chemie 58 (2019) 10295-10299
📄Operando nanoscale imaging reveals Fe doping of Ni oxide enhancing oxygen evolution reaction via fragmentation and formation of dual active sites. Y. Liang, S.Parreiras, S. Lee, K. Banjac, V.Boureau, JM Gallego, X. Hu, D. Écija and M. Lingenfelder.
Angew. Chem. Int. Ed. 2025, e202419521
Magnetochemistry
We investigate the effect of tunable magnetic fields to improve the activity of electrocatalysts
📄Enhancement of Electrocatalysis through Magnetic Field Effects on Mass Transport.
Priscila Vensaus, Yunchang Liang, Jean-Philippe Ansermet, Galo J. A. A. Soler-Illia, and Magalí Lingenfelder.
Nature Communications 2024, 15, 2867
Solid/gas interfaces
Small molecule activation on 2D metal organic networks/ Single atom catalysis
We design self-assembled metal-organic networks that mimic enzymatic active sites and study their reactivity at the atomic scale
📄Reactivity of Bioinspired Magnesium-Organic Networks under CO2 and O2 Exposure. ACS Omega 4, 2019, 9850-9859📄2-D assembly of Supramolecular Nanoarchitectures on Mg(0001).Chemical Communications, 2019; 55(12).📚Mimicking Enzymatic Active Sites on Surfaces for Energy Conversion Chemistry.
Acc. Chem. Res. 48, 2015, 2132–2139📕PhD thesis D. Hurtado, EPFL. Design of Surface-Supported Bio-inspired Networks for CO2 and O2 Activation at Room Temperature
CO2 activation on a 2D metal-organic network at room temperature

Solid/liquid interfaces
Supramolecular NanoPores
We design reversible supramolecular switches for polarization controlled chemistry
We found a new fully reversible mechanism to control the structure of molecular interfaces by local dilution, induced by surface polarization. The local control allows us to modify the properties of molecular nanosystems in a predictable fashion, achieving smart response towards external stimuli.First report:
📄Local Conformational Switching of Supramolecular Networks at the Solid/Liquid Interface. ACS Nano 2015, 9, 5, 5544–5550Applications:
📄STM bias voltage-dependent polymorphism of a binary supramolecular network. Chemical Communications 09/2017; 53(83), 11430-11432📄Reversible Local and Global Switching in Multicomponent Supramolecular Networks: Controlled Guest Release and Capture at the Solution/Solid Interface. ACS Nano 2015, 9, 12, 11608-11617Mechanism:
📄 Rational Design of 2D Supramolecular Networks Switchable by External Electric Fields.
_ACS Nano 2024, 18, 5, 4287–429 6_
Solid/gas interfaces
Nanoarchitectonics
We use self assembly to create atomically tailored 2D materials
📚Carboxylate Groups: Deprotonation of Carboxylic Acids and Formation of Coordination Networks. Reference Module in Chemistry, Molecular Sciences and Chemical Engineering, Encyclopedia of Interfacial Chemistry: Surface Science and Electrochemistry 2017; , ISBN: 9780124095472
📄2-D assembly of Supramolecular Nanoarchitectures on Mg(0001).Chem. Commun., 2019,55, 1793-1796📄 Building Two-Dimensional Metal-Organic Networks with Tin.Chemical Communications 12/2018; 55(3).88📄Stabilization of High-Spin Mn ions in Tetra-pyrrolic Configuration on Copper. Applied Surface Science 2021, Volume 551, 149307📄 Mn–Cu Transmetalation as a Strategy for the Assembly of Decoupled Metal–Organic Networks on Sn/Cu(001) Surface Alloys.The Journal of Physical Chemistry C, 2020
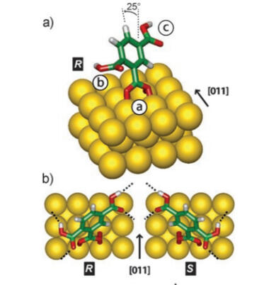
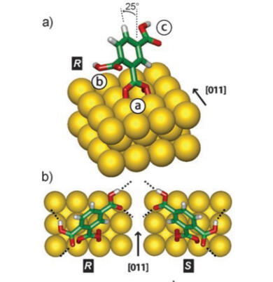
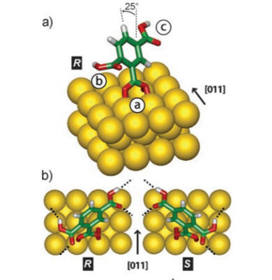
Chiral Recognition
We study the hierarchiral transfer of Chirality from single molecules to assemblies
📄Chiral expression of adsorbed (MP) 5-Amino [6] helicenes: from random structures to dense racemic crystals by surface alloying. Chem. Commun., 2017,53, 130-133 Invited Contribution to the special collection on Chirality at the Nanoscale.📄Van der Waals interactions in the self-assembly of 5-amino [6]helicene on Cu(100) and Au(111).Chemical Communications 09/2014; 50(90) Invited Contribution to the special collection on Scanning Probe Studies of Molecular Systems. Highlighted in Chimia
SPIN SELECTIVE CHEMISTRY
We use Chiral molecules as spin filters (CISS EFFECT) to design spin selective catalytic surfaces
📄Enhancement of electrocatalytic oxygen evolution by chiral molecular functionalization of hybrid 2D electrodes. **Nature Communications 2022 volume 13, Article number: 3356 **📄Spin-control in electrocatalysis for clean energy. Invited Review on Chiral Induced Spin Selectivity, IJC 2022📄Hybrid Mesoporous Electrodes Evidence CISS Effect on Water Oxidation.
J. Chem. Phys. 2024, 160, 111103
Research
Nature creates dynamic and responsive systems across different time and length scales. We mimic nature to create sustainable materials and devices. We see the surface as the skin of the material, the way it communicates and interfaces with the environment.Our vision is to create atomically tailored interfaces for applications in two distinct areas of urgent technological relevance: energy conversion and antimicrobial interfaces.To access the nanoscale, our group uses a combination of cutting edge scanning probe microscopy and solid state spectroscopy, allowing the study of kinetic processes in-situ under liquid flow and potential control conditions.
Our group is 90% financed by external resources. We thank HORIZON 2020, SERI, CONICET, MinCyT and MPI and the US Department of Energy for supporting our research!





Group
Chemists doing physics, physicists doing biology, medical doctors and material scientists that enjoy the interface! We go from protein purification to building scanning probe microscopes! And we do it because we love science at the nanoscale! 🧬 🧫 🔬
Contact
Our group is moving to the Helvetia Institute for Science and Innovation
contact us at: maggie@helvetiascience.org
Publications and THESES
66 • 📄Operando nanoscale imaging reveals Fe doping of Ni oxide enhancing oxygen evolution reaction via fragmentation and formation of dual active sites. Y. Liang, S.Parreiras, S. Lee, K. Banjac, V.Boureau, JM Gallego, X. Hu, D. Écija and M. Lingenfelder.
Angew. Chem. Int. Ed. 2025, e202419521
65 • 📄Operando evidence on the chirality-enhanced oxygen evolution reaction in intrinsically chiral electrocatalysts. F.A. Garcés-Pineda, J. Yu, C. A. Mesa, S.Plana-Ruiz, D.Ruano, Y. Liang, M. Lingenfelder, S. Giménez and J. R. Galán-Mascarós
Chem. Sci., 2025,16, 5475-5482
64• 📄Enhancement of Electrocatalysis through Magnetic Field Effects on Mass Transport.
Priscila Vensaus, Yunchang Liang, Jean-Philippe Ansermet, Galo J. A. A. Soler-Illia, and Magalí Lingenfelder.
Nature Communications 2024, 15, 2867
63• 📄 Rational Design of 2D Supramolecular Networks Switchable by External Electric Fields.
Fernando P. Cometto, Nicolás Arisnabarreta, Radovan Vanta, Daniela K. Jacquelín, Vijay Vyas, Bettina V. Lotsch, Patricia A. Paredes-Olivera, E. Martín Patrito, and Magalí Lingenfelder
ACS Nano 2024, 18, 5, 4287–429 6

62• 📄 Hybrid Mesoporous Electrodes Evidence CISS Effect on Water Oxidation.
Priscila Vensaus, Yunchang Liang, Nicolas Zigon, Narcis Avarvari, Vladimiro Mujica, Galo Soler-Illia, and Magalí Lingenfelder.
J. Chem. Phys. 2024, 160, 111103
61• 📄Synergistic enhancement of photo-assisted water splitting by mesoporous TiO2/NiFe LDH composite nanomaterials.
Priscila Vensaus, Yunchang Liang, Facundo C Herrera, Galo JAA Soler-Illia and Magalí Lingenfelder. International Journal of Hydrogen Energy 2024, Volume 59, 1, 89-96

60 • 📄Spin-control in electrocatalysis for clean energy.
Yunchang Liang , Martina Lither and Magali Lingenfelder . Invited Review on Chiral Induced Spin Selectivity, IJC 2022 Preprint on ChemRxiv.

59 • 📄Enhancement of electrocatalytic oxygen evolution by chiral molecular functionalization of hybrid 2D electrodes. Liang Y, Banjac K, Martin K, Zigon N, Lee S, Vanthuyne N, Xile Hu, Narcis Avarvaris, and Magali Lingenfelder. Nature Communications 2022 volume 13, Article number: 3356

58 • 📄Enhancement of Electrocatalytic Oxygen Evolution by Chiral Molecular Functionalization of Hybrid 2D Electrodes. Liang Y, Banjac K, Martin K, Zigon N, Lee S, Vanthuyne N, Xile Hu, Narcis Avarvaris, and Magali Lingenfelder.
Preprint: ChemRxiv. Cambridge: Cambridge Open Engage
**and Research Square 2022 **

57 • 📄Operando nanoscale imaging reveals Fe doping of Ni oxide enhancing oxygen evolution reaction via fragmentation and formation of dual active sites. Y. Liang, S.Parreiras, S. Lee, K. Banjac, V.Boureau, JM Gallego, X. Hu, D. Écija and M. Lingenfelder. 2022, Preprint available at Research Square

56 • 📄Operando surface chemistry of micro- and nanocubic copper catalysts for electrochemical CO2 reduction. Karla Banjac, Than Hai Phan, Fernando Cometto, Patrick Alexa, Yunchang Liang, Rico Gutzler, and M. Lingenfelder. currently under review
Preprint: ChemRxiv. Cambridge: Cambridge Open Engage; 2022

55 • 📄 Emergence of Potential-Controlled Cu-Nanocuboids and Graphene-Covered Cu-Nanocuboids under Operando CO2 Electroreduction. Thanh Hai Phan, Karla Banjac, Fernando Cometto, Federico Dattila, Stefan Raaijman, Chiunmiao Ye, Marc Koper, Nuria Lopez, and Magalí Lingenfelder.
Nanoletters 21 (2021) 2059-2065

54• 🗂Nanopatterned antimicrobial surfaces
Lingenfelder, Magalí; Arbeitman, Claudia; Delgado, Claudia
International Patent WO2021070055 (A1), published June 2021.

53• 📄Super-resolved optical mapping of reactive sulfur-vacancy in 2D transition metal dichalcogenides. Miao Zhang, Martina Lihter, Michal Macha, Karla Banjac , Yanfei Zhao, , Zhenyu Wang, Jing Zhang, Jean Comtet, Magalí Lingenfelder, Andras Kis, and Aleksandra Radenovic. ACS Nano 2021, 15, 4, 7168–7178.

52• 📄 *Intrinsic Luminescence Blinking from Plasmonic Nanojunctions. * Wen Chen, Philippe Roelli, Aqeel Ahmed, Sachin Verlekar, Huatian Hu, Karla Banjac, Magalí Lingenfelder, Tobias J. Kippenberg, Giulia Tagliabue, Christophe Galland. Nat Commun 12, 2731 (2021)

51• 📄Structural Order of the Molecular Adlayer Impacts the Stability of Nanoparticle-on-Mirror Plasmonic Cavities. Aqeel Ahmed, Karla Banjac, Sachin S. Verlekar, Fernando P. Cometto, Magalí Lingenfelder, Christophe Galland.
ACS Photonics 2021, 8, 6, 1863–1872.

50• 📄 Stabilization of High-Spin Mn ions in Tetra-pyrrolic Configuration on Copper. Silvia Carlotto; Javier D. Fuhr; Albano Cossaro; Alberto Verdini; Maurizio Casarin; Magalí Lingenfelder; Julio Esteban Gayone; Luca Floreano, Hugo Ascolani. Applied Surface Science 2021, Volume 551, 149307

49• 📄 Mn–Cu Transmetalation as a Strategy for the Assembly of Decoupled Metal–Organic Networks on Sn/Cu(001) Surface Alloys. P. Machaín, J. D. Fuhr, S. Schneider, S. Carlotto, M. Casarin, A. Cossaro, A. Verdini, L. Floreano, M. Lingenfelder, J. E. Gayone, and H. Ascolani. The Journal of Physical Chemistry C, 2020

48• 📄Catalyst proximity induced functionalization of h-BN with quat-derivatives. Adrian Hemmi, Huanyao Cun, Gabriele Tocci, Adrian Epprecht, Bart Stel, Magalí Lingenfelder, Luis de Lima, Matthias Muntwiler, Jurg Osterwalder, Marcella Iannuzzi, Thomas Greber. Nanoletters 08/2019, 1995998-6004

47• 📄Oxygen Isotope Labelling Experiments Reveal Different Reaction Sites for the Oxygen Evolution Reaction on Nickel and Nickel Iron Oxides. Seunghwa Lee, Karla Banjac, Magalí Lingenfelder, Xile Hu. Angewandte Chemie 58 (2019) 10295-10299

46• 📄Reactivity of Bioinspired Magnesium-Organic Networks under CO2 and O2 Exposure. Daniel Eduardo Hurtado Salinas, Ane Sarasola, Bart Stel, Fernando Pablo Cometto, Klaus Kern, Andrés Arnau, and Magalí Lingenfelder.
ACS Omega 4, 2019, 9850-9859

45• 📄 2-D assembly of Supramolecular Nanoarchitectures on Mg(0001). Daniel E. Hurtado Salinas, Fernando Cometto, Bart Stel, Klaus Kern, and Magalí Lingenfelder. Chemical Communications, 2019; 55(12).

44• 📄 Building Two-Dimensional Metal-Organic Networks with Tin.
Luis M Rodríguez, Javier Daniel Fuhr, Paloma Machaín, Hugo Ascolani, Magalí Lingenfelder, J. Esteban Gayone. Chemical Communications 12/2018; 55(3)

43• 📄 Contrasting chemistry of block copolymer films controls the dynamics of protein self-assembly at the nanoscale. Bart Stel, Ilja Gunkel, Xiodan Gu, Thomas Russell, James J De Yoreo, and Magalí Lingenfelder.
ACS Nano, 2019, 13 (4), pp 40184027

42• 📄 Dynamically resolved self-assembly of S-layer proteins on solid surfaces. Bart Stel, Fernando Cometto, Behzad Rad, James J De Yoreo, and Magalí Lingenfelder. Chemical Communications, 2018; 54(73).
Invited contribution to the collection: Scanning probe frontiers in molecular 2D-architecture world.

41• 📄Comparative Study of the Adsorption of Thiols and Selenols on Au (111) and Au (100). Nicolás Arisnabarreta, Gustavo D Ruano, Magalí Lingenfelder, Eduardo Martín Patrito, Fernando Pablo Cometto. Langmuir 11/2017; 33(48)

40• 📄On the van der Waals interactions of n‐alkanethiol‐covered Surfaces: From planar to curved surfaces. Fernando P Cometto, Zhi Luo, Shun Zhao, Jimena A Olmos-Asar, Marcelo M Mariscal, Quy Ong, Klaus Kern, Francesco Stellacci, and Magalí Lingenfelder.
Angewandte Chemie International Edition 2017
Volume 56, Issue 52 p. 16526-16530

39• 📄 The van der Waals Interactions of n -Alkanethiol-Covered Surfaces: From Planar to Curved Surfaces. Fernando P. Cometto, Zhi Luo, Shun Zhao, Jimena A. Olmos-Asar, Marcelo M. Mariscal, Quy Ong, Klaus Kern, Francesco Stellacci, and Magalí Lingenfelder: Angewandte Chemie 10/2017; 129(52)

38• 📄STM bias voltage-dependent polymorphism of a binary supramolecular network. Fernando Cometto, Kilian Frank, Bart Stel, Nicolas Arisnabarreta, Klaus Kern, and Magalí Lingenfelder.
Chemical Communications 09/2017; 53(83), 11430-11432

37• 📄Chiral expression of adsorbed (MP) 5-Amino [6] helicenes: from random structures to dense racemic crystals by surface alloying. Javier D Fuhr, Maarten van de Meijden, Lucila J. Cristina, Luis M Rodríguez, Richard M Kellogg, J. Esteban Gayone, Hugo Ascolani, and Magalí Lingenfelder.
Chem. Commun., 2017,53, 130-133.
Invited Contribution to the special collection on Chirality at the Nanoscale.

36• 📖Carboxylate Groups: Deprotonation of Carboxylic Acids and Formation of Coordination Networks.
M. Lingenfelder, J.D. Fuhr, J.E. Gayone, H. Ascolani.** Encyclopedia of Interfacial Chemistry: Surface Science and Electrochemistry; Reference Module in Chemistry, Molecular Sciences and Chemical Engineering, ISBN: 9780124095472, Elsevier 2017.**
Editor in Chief: Klaus Wandelt
eBook ISBN: 9780128098943
Hardcover ISBN: 9780128097397

35•📄Synthesis, Properties, and Two-Dimensional Adsorption Characteristics of 5-Amino[6]hexahelicene. Maarten W van der Meijden, Edith Gelens, Natalia Murillo Quirós, Javier D Fuhr, J Esteban Gayone, Hugo Ascolani, Klaus Wurst, Magalí Lingenfelder, Richard M Kellogg.
Chemistry - A European Journal 12/2015; 22(4)

34•📄Reversible Local and Global Switching in Multicomponent Supramolecular Networks: Controlled Guest Release and Capture at the Solution/Solid Interface.
Shern-Long Lee, Yuan Fang, Gangamallaiah Velpula, Fernando P Cometto, Magalí Lingenfelder, Klaus Müllen, Kunal S Mali, Steven De Feyter. ACS Nano 2015, 9, 12, 11608-11617

33•📚Germanene: The germanium analogue of graphene. A Acun, L Zhang, P Bampoulis, M Farmanbar, A van Houselt, A N Rudenko, M Lingenfelder, G Brocks, B Poelsema, M I Katsnelson, H J W Zandvliet Journal of Physics Condensed Matter 10/2015; 27(44):443002..
Highly cited: top 1% in field Physics (source WOS)

32•📚Mimicking Enzymatic Active Sites on Surfaces for Energy Conversion Chemistry. Rico Gutzler, Sebastian Stepanow, Doris Grumelli, Magalí Lingenfelder, Klaus Kern. Acc. Chem. Res. 48, 2015, 2132–2139

31•📄Local Conformational Switching of Supramolecular Networks at the Solid/Liquid Interface.
Fernando P Cometto, Klaus Kern, and Magalí Lingenfelder.
ACS Nano 2015, 9, 5, 5544–5550

30•📄Van der Waals interactions in the self-assembly of 5-amino [6]helicene on Cu(100) and Au(111). Hugo Ascolani, Maarten van de Meijden, Lucila J. Cristina, J. Esteban Gayone, Richard M. Kellogg, Javier D. Fuhr, and Magalí Lingenfelder.
Chemical Communications 09/2014; 50(90) .
Invited Contribution to the special collection on Scanning Probe Studies of Molecular Systems.
Highlighted in Chimia

8•📕PhD Thesis Priscila Vensaus (2024). Nanostructured Materials for the Oxygen Evolution Reaction:
Using Light and Spin to Improve Catalysis (in collaboration with UNSAM).

7•📕PhD Thesis Karla Banjac (2021). ln-situ nanoscale studies of copper-based catalysts for carbon dioxide electroreduction. EPFL. Distinguished thesis and selected in the top 3 best theses of the Physics doctoral school of EPFL

6•📙Msc Thesis G. Dupont (2021). Bioinspired antimicrobial surfaces structured at the nanoscale. EPFL

5• 📕PhD Thesis B. Stel (2018). In situ Studies of Peptide and Protein Assemblies at the Solid-Liquid Interface: Hierarchical Self-Assembly, Dynamics and Functional Properties. EPFL.

4• 📕PhD thesis D. Hurtado (2019). Design of Surface-Supported Bio-inspired Networks for CO2 and O2 Activation at Room Temperature. EPFL.

3• 📕 PhD Thesis Acun, A. (2017). The growth and characterization of silicene, germanene and hexagonal boron nitride. University of Twente.

2•📙Msc Thesis R. Vanta (2015). Metal-organic coordination networks at the liquid-solid interface.EPFL.

1•📙MSc.Thesis. B. Stel (2013). CO2 sequestration using bacterial surface layers. University of Twente. LBNL Berkeley and EPFL.
Previous publications:

• 📄Localised Crystallization of Enantiomeric Organic Compounds on Chiral Micro-patterns from Various Organic Solutions. Magalí Lingenfelder, Ángela Bejarano‐Villafuerte, Maarten W. van der Meijden, Richard M. Kellogg, David B. Amabilino. Chemistry - A European Journal 07/2014; 20(33).

• 📄*Programming Hierarchical Supramolecular Nanostructures by Molecular Design. * Yeliang Wang, Magalí Lingenfelder, Stefano Fabris, Guido Fratesi, Riccardo Ferrando, Thomas Classen, Klaus Kern, Giovanni Costantini. The Journal of Physical Chemistry C 01/2013; 117:3440.

• 📄A Chiral Self-Assembled Monolayer Derived from a Resolving Agent and its Performance as a Crystallization Template for an Organic Compound from Organic Solvents. Angela Bejarano-Villafuerte, Maarten W van der Meijden, Magalí Lingenfelder, Klaus Wurst, Richard M Kellogg, David B Amabilino. Chemistry - A European Journal 11/2012; 18(50)

• 📄Controlled crystallization of organic molecules on micro-patterned surfaces. Villafuerte Á. Bejarano, M. Lingenfelder, M. van der Meijden, R. Kellogg, D. B. Amabilino. Acta Crystallographica Section A Foundations of Crystallography 08/2011; 67(a1):C819-C819..

• 📄Varying molecular interactions by coverage in supramolecular surface chemistry. Yeliang Wang, Stefano Fabris, Thomas W White, Federico Pagliuca, Paolo Moras, Marco Papagno, Dinesh Topwal, Polina Sheverdyaeva, Carlo Carbone, Magalí Lingenfelder, Thomas Classen, Klaus Kern, Giovanni Costantini. Chemical Communications 11/2011; 48(4):534-6.

• 📄Supramolecular control of the magnetic anisotropy in two-dimensional high-spin Fe arrays at a metal interface. Pietro Gambardella, Sebastian Stepanow, Alexandre Dmitriev, Jan Honolka, Frank M F de Groot, Magalí Lingenfelder, Subhra Sen Gupta, D D Sarma, Peter Bencok, Stefan Stanescu, Sylvain Clair, Stéphane Pons, Nian Lin, Ari P Seitsonen, Harald Brune, Johannes V Barth, Klaus Kern. Nature Materials 03/2009; 8(3):189-93.
• 📄*Hydrogen and Coordination Bonding Supramolecular Structures of Trimesic Acid on Cu(110) *. Thomas Classen, Magalí Lingenfelder, Yeliang Wang, Rishav Chopra, Chariya Virojanadara, Ulrich Starke, Giovanni Costantini, Guido Fratesi, Stefano Fabris, Stefano de Gironcoli, Stefano Baroni, Sam Haq, Rasmita Raval, Klaus Kern. The Journal of Physical Chemistry A 01/2008; 111(49):12589-603.

• 📄 *Structure and Energetics of Diphenylalanine Self-Assembling on Cu(110). * Giulia Tomba, Magalí Lingenfelder, Giovanni Costantini, Klaus Kern, Florian Klappenberger, Johannes V Barth, Lucio Colombi Ciacchi, Alessandro De Vita. The Journal of Physical Chemistry A 01/2008; 111(49):12740-8.

• 📄Ordering of Dipeptide Chains on Cu Surfaces through 2D Cocrystallization. Yeliang Wang, Magalí Lingenfelder, Thomas Classen, Giovanni Costantini, Klaus Kern. Journal of the American Chemical Society 01/2008; 129(51):15742-3.

• 📄Tuning the expression of supramolecular chirality by molecular footprint engineering on metal surfaces. M. Lingenfelder*, G. Tomba, S. Haq, G. Costantini, Y. Wang, A. De Vita, R. Raval, K. Kern. ,NanoSpain2008, 14-18 April, 2008 Braga-Portugal.

📄Titelbild: Tracking the Chiral Recognition of Adsorbed Dipeptides at the Single-Molecule Level (Angew. Chem. 24/2007). Magalí Lingenfelder, Giulia Tomba, Giovanni Costantini, Klaus Kern.** Angewandte Chemie 06/2007; 119(24):4489-4489.** Selected as very important publication and Cover article.• 📄Tracking the Chiral Recognition of Adsorbed Dipeptides at the Single-Molecule Level.Magalí Lingenfelder*, Giulia Tomba, Giovanni Costantini, Lucio Colombi Ciacchi, Alessandro De Vita, Klaus Kern.Angewandte Chemie International Edition 06/2007; 46(24):4492-5.

• 📄Asymmetry Induction by Cooperative Intermolecular Hydrogen Bonds in Surface-Anchored Layers of Achiral Molecules. Alexandre Dmitriev, Hannes Spillmann, Sebastian Stepanow, Thomas Strunskus, Christof Wöll, Ari P Seitsonen, Magali Lingenfelder, Nian Lin, Johannes V Barth, Klaus Kern. ChemPhysChem 10/2006; 7(10):2197-204.

• 📄Density Functional Theory Analysis of Carboxylate-Bridged Diiron Units in Two-Dimensional Metal−Organic Grids. Ari P Seitsonen, Magalí Lingenfelder, Hannes Spillmann, Alexandre Dmitriev, Sebastian Stepanow, Nian Lin, Klaus Kern, Johannes V Barth. Journal of the American Chemical Society 06/2006; 128(17):5634-5.

• 📄Design of Extended Surface-Supported Chiral MetalOrganic Arrays Comprising Mononuclear Iron Centers.Alexandre Dmitriev, Hannes Spillmann, Magali Lingenfelder, Nian Lin, Johannes V. Barth, Klaus Kern.Langmuir 06/2004; 20(12):4799-4801.

• 📄Steering molecular organization and host-guest interactions using two-dimensional nanoporous coordination systems.Sebastian Stepanow, Magalí Lingenfelder, Alexandre Dmitriev, Hannes Spillmann, Erik Delvigne, Nian Lin, Xiaobin Deng, Chengzhi Cai, Johannes V Barth, Klaus Kern.Nature Materials 05/2004; 3(4):229-33.

• 📄Towards Surface-Supported Supramolecular Architectures: Tailored Coordination Assembly of 1,4-Benzenedicarboxylate and Fe on Cu(100). Magalí A Lingenfelder, Hannes Spillmann, Alexandre Dmitriev, Sebastian Stepanow, Nian Lin, Johannes V Barth, Klaus Kern.** Chemistry-A European Journal 04/2004; 10(8):1913-9.**

• 📄 Bottom-up nano-technology: molecular engineering at surfaces. S. Stepanow, M. Lingenfelder, A. Dmitriev, N. Lin, T. Strunskus, C. Woll, JV Barth. BESSY - Highlights 2003, 2021• 📄*Supramolecular Engineering Of Metal Organic Networks At Surfaces. *. Nian Lin, Alexandre Dmitriev, Hannes Spillmann, Paolo Messina, Magali Lingenfelder, Sebastian Stepanow, Johannes V. Barth, Klaus Kern. AIP Conference Proceedings 696. 2003

• BioNanoarchitectonics and the dynamics of alive functional surfaces.
M. Lingenfelder. Abstracts of the American Chemical Society, 2019.• Bio-inspired nanostructures: Patterning and mechanisms.
M. Lingenfelder. Abstracts of the American Chemical Society, 2014.
Maggie
Magalí Lingenfelder designs atomically tailored interfaces. Her work contributes to the creation of new materials by elucidating chemical processes with special focus on spin-controlled and dynamic (bio) molecular recognition processes at the liquid/solid interface.She created and led for over 10 years the Max Planck-EPFL Laboratory for Molecular Nanoscience in Lausanne, Switzerland, and currently directs the Helvetia Institute for Science and Innovation.She studied physical and biological chemistry at the National University of Córdoba in Argentina. In 2003 she finished her MSc thesis at the Max Planck Institute for the Solid State Research (MPI-FKF in Stuttgart, Germany) with seminal contributions to the field of metal-organic coordination networks on solid surfaces. She continued with her doctoral studies in Physics, and received the Otto Hahn medal of the Max Planck Society in 2008 for the microscopic understanding of the chiral recognition process with submolecular resolution. In her quest to study molecular recognition going from 2D to 3D complex systems, she made postdoctoral work at the Institute of Materials Sciences in Barcelona, and at the Molecular Foundry of the Lawrence Berkeley National Lab in the US.She is a committed mentor who directed several MSc theses, 5 PhD theses, and 5 postdocs. She advocates for problem-oriented interdisciplinary research: she led 5 international research consortiums, delivered over 70 invited presentations, and organized 12 conferences and 4 doctoral schools. She and her team had received multiple awards and international recognitions for their creative and rigurous work on chiral recognition, quantum electrocatalysis and operando studies at catalytic interfaces. In 2018, the Royal Society of Chemistry included her work in the first collection “Celebrating Excellence in Research: 100 Women of Chemistry”.

Research philosophy
-Exploring fundamental concepts that connect nanoscale phenomena with applicable interfaces, to address urgent technological and societal problems.
-Mentoring scientists in a nurturing environment, focusing in scientific integrity, creativity and appreciation of their unique contribution to science.Fields of expertise
BioNanoarchitectonics, quantum electrocatalysis, operando surface science at solid/liquid interfaces, Self-assembly, Scanning Probe Microscopy, Chirality, X-Ray Photoelectron Spectroscopy, 2D materials, Antimicrobial surfaces.Professional experience
2024- Scientific Director Helvetia Institute for Science and Innovation, Switzerland
2025- (April-June mini sabbatical) Visiting Professor KU Leuven Erasmus Mundus Nanoscience program
2023-2024 Ikerbasque Research Professor (part time), Bilbao, Spain
2013-present Group Leader Max Planck-EPFL Lab. for Molecular Nanoscience, École Polytechnique Fédérale de Lausanne (EPFL)
2011-2012 Post-Doctoral Fellow at the Molecular Foundry, Lawrence Berkeley National Laboratory, Berkeley, USA.
2011 Invited Lecturer, Instituto Balseiro, Centro Atómico Bariloche, Argentina.
2009-2011 Post-Doctoral Fellow at Institut de Ciència de Materials de Barcelona, Spain (European Project RESOLVE).
2004-2008 Research Assistant, PhD student at the Max Planck Institute for Solid State Research, Stuttgart, Germany.Awards/distictions
2024. Solvay Colloquium, Belgium . Beyond Nanostructures: Will Chiral and Magnetic Fields Transform Clean Energy Technologies?
2018 Included in the Royal Society of Chemistry collection “Celebrating Excellence in Research: 100 Women of Chemistry”.
2011 Milstein Fellow, Argentinean Ministry of Science.
2008 Otto Hahn medal of the Max Planck Society (Best PhD thesis).
2005 1st Soft Materials Prize. Nanoscale Surface Self-Assembly a EuCheMS Conference, 19-23 of S June Stockholm Sweden.International Panels/Scientific Evaluation
2021-present -Board Nanofutures (IOP-Institute of Physics)
2023-present- International Advisory Board "Chirality at the Nanoscale"
2023-present -Expert in several boards for: Climate Solutions program at the US-Israel Binational Science Foundation (BSF); The Alexander von Humboldt Foundation; The Israel Science Foundation; US National Science Foundation, ERC Advanced grant evaluator, ERC Consolidator grant evaluator
2023-2025 Steering committee RAICES Program: Network of Argentinean scientists abroad
2023-Recruitment Board for Assistant Professor in Material Chemistry, School of Engineering Sciences in Chemistry, Biotechnology and Health at KTH
Royal Institute of Technology
2017-2021-Advisory Panel Board and Surface Science work package coordinator of A-LEAF (one of the largest funded EU project on Artificial Photosynthesis)
2021-Panel Chair Nanotechnology representing Swiss National Science Foundation for Southeast Asia – Europe Joint Funding Scheme
European Comission.
2021, 2024 Panel member Nanotechnology for portuguese Fundação para a Ciência e a Tecnologia (FCT).
2019- Evaluator Fellowships Austrian Academy of Sciences.
2020, 2016, 2025- Evaluator Research Foundation Flanders (FWO) Belgium.
2010- American Chemical Society Petroleum Research Fund, USA.
2020-2015 PhD Jury in 8 PhD Thesis (3 students in Chemistry, 3 in Physics, 2 in Materials Science).Invited Talks 2014-2025
June 2025. Plenary talk in "Donostia is Science " conference, 50th anniversary of the Faculty of Chemistry of the University of the Basque Country (UPV/EHU), Donostia, Spain
June 2025. NanoGUNE Colloquium. From Nano to Quantum: Spin-Selective Catalysts for Clean Energy Technologies, Donostia, Spain
May 2025. ElecNano 11th edition: On-Surface Chemistry for Nanoscale Electrochemical Phenomena, Angers, France
April 2025. Colloquium CHEMCafé Spin-polarized chemistry: a game-changer for clean energy? KU Leuven, Belgium
December 2024. 822. WE-Heraeus-Seminar: Chirality and Quantum Spin – a Critical Assessment. Physikzentrum Bad Honnef, Germany
November 2024. Solvay meeting, Belgium. SOLVAY COLLOQUIUM: Beyond Nanostructures: Will Chiral and Magnetic Fields Transform Clean Energy Technologies?
September 2024. Conference on Molecular Nanoscience 2024. Congressi Stefano Franscini, Monte Verità, Ascona, Switzerland
July 2024. Lipari International School. Chirality: from biology to pharmaceutical and nanomaterials. Lipari, Italy
July 2024. DCP Women in Science, FAU Erlangen Symposium, Germany
July 2024. International Conference on Magnetism, ICM, Focus "Spins and Chirality", Bologna, Italy
May 2024. Plenary talk. Congreso Argentino de Microscopía (SAMIC 2024, Tucumán, Argentina)
March 2024. nanoGE: Materials for Sustainable Development Conference (MAT-SUS) Barcelona, Spain.
January 2024. Plenary talk at PSI electrochemistry Day, Paul Scherrer Institute, Villingen, Switzerland.
January 2024. Opening talk at Workshop ‘Advances in the Catalytic Chemistry with Green Electrons’ TU/e & UU joint Center for Chemenergy, Netherlands.***
November 2023. 50th MRS Fall meeting Boston. Crystallization and Assembly at Interfaces: Fundamental Breakthroughs Enabled by Data-Centric Analysis and In-Situ/Operando Techniques.
October 2023. MATSUSFall23, NanoGE conference, Torremolinos, Spain. Frontier developments in Electrochemical CO2 reduction and the utilization
September 2023. Make and Measure: Interfaces. Humboldt University Berlin, Germany.
October 2023. 5th Chirality at the Nanoscale, Angers, France.
August 2023. ACS Fall 2023, San Francisco, US.
September 2023. 74th Annual Meeting of the International Society of Electrochemistry, Lyon, France
July 2023. Gordon Research Conference. Electron Spin Interactions with Chiral Molecules and Materials. New Hampshire, US.
Invited talk, Power hour leader and selected speaker for the closing perspectives.
June 14, 2023. Seminar at Applied Physics Department, The Hebrew University Jerusalem, Israel.
June 6, 2023. Chemical and Biological Physics Seminar at Weizmann Institute, Israel.
March 2023. ACS Spring Meeting, Indianapolis, US
December 2022. 775. WE-Heraeus-Seminar "Towards Comprehension of Chiral Induced Spin Selectivity". Bad Honnef, Germany.
November 2022. The Third Middle-Eastern Materials Science Conference (MEMS2022). NYU, Abu Dhabi.
November 2022. 747. WEH-Seminar "Molecular Functionality at Surfaces: Self-Assembly, Manipulation, Reactivity and the Role of Decoupling". Bad Honnef, Germany.
November 2022. Green Academy Seminar: How to reconnect science with nature. Lausanne, Switzerland. "Interfacial science of bio-inspired materials"
October 2022. Fall Meeting nanoGE: Materials for Sustainable Development Conference (MAT-SUS) Barcelona, Spain. "Hands up! Spins up! Magnetic fields and Chiral molecules in achiral electrocatalysis"
October 2022. Seminar at BCMaterials, Bilbao. "Making Bioinspired materials atom by atom"
July 2022. 25th International Conference on the Chemistry of the Organic Solid State. Ohrid, Macedonia. "Crystals that grow on surfaces: from single molecules to medicine "
June 2022. Magnetic Microhydrodynamics – An Emerging Research Field, Mittelwhir, France. "Local and interfacial Magnetic effects on Electrocatalysis"
March 2022. nanoGe Spring Meeting 2022 (NSM22), #ElectroCat22. Electrocatalysis for the Production of Fuels and Chemicals, Tarragona, Spain "What can in-situ surface science reveal about the "devil" face of your electrocatalyst?"
Jan 2022. Colloquium at ICFO, Barcelona."The dynamic interface of bioinspired nanostructured materials”.
Dec 2021. Pacifichem, International Chemical Congress of Pacific Basin Societies. Supramolecular Assemblies at Surfaces: Nanopatterning, Functionality, Reactivity (#339) . Honolulu, Hawaii, US. "Solid/liquid interfaces across time and spatial scales: From single molecules to medicine."
Dec 2021. CISS seminar series-Uppsala University/Weizmann Institute "Interfacial chemistry insights into chiral functionalization and magnetic field effects on electrocatalysis".
Nov 2021. Soltech Seminars. Ludwig-Maximilians-Universität München. "Don’t be superficial, be interfacial! What can in-situ surface science reveal about the devil face of your electrocatalyst?"
May 2021. CatTheory webminar DTU catalysis."Tracking the Surface Dynamics of Earth- abundant Electrocatalysts at the Nanometer Scale”
February 2021. webminar for Corning INC, New York, US. “Bioinspired Nanointerfaces for antimicrobial applications”.
December 2020. Seminar Nanoscience Institute, UNSAM Argentina.“La vuelta al Nanomundo en 80 segundos : explorando superficies dinámicas con resolución submolecular".
October 2020. Seminar Institut Català de Investigació Quimica (ICIQ).“How Does a Nanoscientist Fight Superbugs?"
September 2020. NCCR Bioinspired Materials, Fribourg, Switzerland. “Bioinspired Nanointerfaces across time and spatial scales: from single molecules to medicine”.
November 2019. Dutch SPM Day, AMOLF, Amsterdam, NL. “Solid/liquid interfaces across length and timescales”.
October 2019. Opening talk at MPI-EPFL Science Day, Lausanne, Switzerland. “Nanostructured interfaces: from atoms to medicine”.
April 2019 ACS National Meeting, Orlando, FL (session Presider "Self-Assembly in 2D")“BioNanoarchitectonics and the dynamics of alive functional surfaces”.
March 2017 Conference on Molecular Nanostructures 2017. Monte Verità, Ascona, Switzerland. "BioNanoarchitectonics: functional nanostructures that build themselves"
December 2016 Conference Advance Microscopy and Spectroscopy of Supramolecular and Macromolecular Systems on Surfaces, Hong Kong. "Designing Hybrid Materials Atom by Atom".
November 2016 Physics Colloquium Instituto Balseiro, Bariloche, Argentina. "BioNanoarchitectonics: Functional Nanostructures that build themselves".
Dec 2016 URPP LightChEC Scientific Meeting, Universität Zürich. "BioNanoarchitectonics: principles and aplications".
October 2016 Plenary talk, VII Meeting of Physics and Chemistry of Surfaces, Santa Fé, Argentina. "Nanoarchitectonics: Nanostructures that build themselves".
July 2016 Workshop on Bio-inspired nanosystems for energy conversion. Harnack-Haus der Max-Planck Gesellschaft, Berlin. "Self-assembled Functional Nanostructures in Flatland".
October 2015 Scientific Advisory Board meeting 2015, Max Planck Institute for Solid State Research, Stuttgart, Germany. "Smart Supramolecular Nanopores at the liquid/solid interface".
October 2015 Conference Chirality at the Nanoscale, Leuven, Belgium. "Tuning the self-assembly of 5-amino [6]helicene on solid surfaces".
Nov 2014 Seminar Talk, Donostia International Physics Center DIPC, Spain."A molecular interactions roadmap to 2D functional nanostructures".
October 2014 Conference Nanoscience for Clean Energy, Schloss Ringberg, Germany.“Biomimetic nanostructures for CO2 sequestration".
September 2014 17th International Conference on Solid Films and Surfaces (ICSFS17), Rio de Janeiro, Brazil (session chair CAT1)."Exploring the Surface Science of Bio-inspired Nanostructures: Tailoring Molecules to Functionality".
April 2014 Conference on Molecular Nanostructures 2014. Monte Verità, Ascona, Switzerland. "A close-up view of biomolecular mechanisms".
March 2014 247th ACS National Meeting, Dallas, TX (session Presider . Supramolecular Self-Assembly at Surfaces 16.03.14) "Bio-inspired nanostructures: Patterning and mechanisms".
Teaching
I enjoy engaging students to think independently and explore new concepts, find connections within different fields and develop their critical thinking. Following this motivation, I started to teach very early (as teaching and laboratory assistant at age 19, during my university studies). Since then, I have designed and taught several courses at the bachelor, MSc and PhD level:
2020- 2023 Organizer and Lecturer –Lecture Series on Advances in Physics -EPFL-PHYS-815
2021 Organizer and lecturer- Lecture Series on Biomimetics-PHYS-816- EPFL and SwissUniversities, EFFL, Switzerland
2013-2023 Lecturer Frontiers in Nanoscience PHYS 407 Undergraduate Msc. Program, EPFL, Switzerland
2013-2021 Invited Lecturer for Synchrotron-based Spectroscopy classes in: Advanced experimental methods in condensed matter and nanophysics. Doctoral School EPFL, Switzerland
2015-2021 Lecturer bachelor Physics lab IVa, Physics lab IVb. EPFL, Switzerland
2016 Invited lecturer at Universidad Nacional de Córdoba, Argentina. I designed and taught the course Molecular Nanoscience and Hybrid Nanostructured Materials- 32 h of Lectures.
2011 Invited lecturer at Instituto Balseiro, Bariloche, Argentina. I designed and taught the post-graduate course Molecular Nanoscience at Surfaces and Interfaces. 50 h of Lectures and 2 laboratory practices.
Organization of Scientific Meetings
2025 Gordon Conference “Driving a Sustainable Future by Understanding Spin Properties in Chiral Materials”. New Hampshire, United States. role: vice-chair.
2025 38th European Conference on Surface Science (ECOSS-38) . Braga, Portugal. role: co-organizer of “MS06: Molecular Chirality on Surfaces and Beyond”.
2024 NanoGe: Materials for Sustainable Development Conference, Lausanne, Switzerland. #ChiNano - Exploring Chiral Nanostructured Materials and Plasmonics for Energy
applications (co-organized with Giulia Tagliabue and Sascha Feldmann from EPFL)
2019 Symposium Chirality @ The Nanoscale. October 13 - 17 2019. Congresso Stefano Franscini (CSF),Ascona, Switzerland. (co-organized with Kalle Ernst and Thomas Bürgi)
2018 SM04: Understanding and Controlling The Structure And Function Of Biomolecules At Material Interfaces, 2018 MRS Spring Meeting, Phoenix, USA, 2-6 April 2018.
2017 Molecules at Surfaces and Interfaces - from Structure to Interactions. International Summer School-Seehotel Zeuthen, Berlin, September 4-7, 2017 (this summer school was selected by the doctoral students as the best school of the MPI-EPFL Center in terms of contents and organization, co-organized with Cécile Hébert, EPFL and Kannan Balasubramanian, MPI).
2015 and 2013 Science day, Max Planck-EPFL Center for Molecular Nanoscience & Technology.Science Day – EPFL, Starling Hotel, 8th-9th October 2015, November 7 & 8, 2013.
Instruments

Latest News
2025 Congrats to Priscila for the Schumacher prize as the best thesis in Physical Chemistry!
2024 Magnetic Fields boost clean energy
2024 MRS Materials News Podcast covered our work on discovering and elucidating the mechanism of 2D Supramolecular Switches
Stay tuned :)
Chiral molecules are awesome! Thanks Chemistry world for covering our recent work.
**Hands up! 🙌 Yunchang tells us the story behind the paper **.
Future Tech Week FETFX videos A-LEAF project: On the road to fosil fuels





























